近代東江劉姓氏 一世祖 開七公 5項目 續二段 君琳公.
麥地祠堂劉氏族譜: (原始文稿掃瞄六十七頁段致七十七頁段).

麥地祠堂劉氏族譜: (原始文稿掃瞄六十七頁段).
麥地祠堂劉氏族譜: (原始文稿掃瞄六十七頁段).

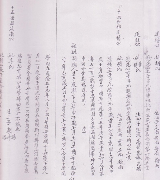
麥地祠堂劉氏族譜: (原始文稿掃瞄六十八頁段).
麥地祠堂劉氏族譜: (原始文稿掃瞄六十八頁段).



https://ditu.so.com/?pid=fef495d2d64441a5&new=1&src=onebox
關聖宮…相距處遙望…惠東縣 新庵 新富路進入….日暉公墓地……重修墓碑碑文………(東江22世p.c.君拍攝圖片). 筆者備註: 東江劉姓氏家族的村莊/墓地側附近都有關聖宮/關聖廟的建築祗祭檯……當年三國戰亂,關公救了一位劉姓幼兒, 其後,關公全家先後被殺……這一位劉姓幼兒的後嗣世代拜祭他……,

麥地祠堂劉氏族譜: (原始文稿掃瞄六十九頁段).
麥地祠堂劉氏族譜: (原始文稿掃瞄六十九頁段).

嶂下圍十一世劉尚義公 墓地,……惠東縣新庵…及嶂下圍祠堂….. 相距處.

惠東縣新庵…嶂下圍路口…(上田心)側邊入….. 相距處. 白盤珠水庫保護區.……(東江22世p.c.君拍攝圖片).
https://ditu.so.com/?pid=fef495d2d64441a5&new=1&src=onebox

麥地祠堂劉氏族譜: (原始文稿掃瞄七十頁段).
麥地祠堂劉氏族譜: (原始文稿掃瞄七十頁段).

https://ditu.so.com/?pid=fef495d2d64441a5&new=1&src=onebox

十二世時貴公(漢祚)二位夫人及兒榮先公/夫人搬遷移合葬新墓穴…三棟數碼園立交/高速公路山側.
十二世時貴公(漢祚)墓穴葬在大山谷,白盤珠山谷中,1975年前後建水庫後難找到.

?pid=fef495d2d64441a5&new=1&src=onebox
惠東縣新庵…嶂下圍路口…白盤珠水庫 松嶂…相距處. 白盤珠水庫保護區.……(東江22世p.c.君拍攝圖片).

麥地祠堂劉氏族譜: (原始文稿掃瞄七十一頁段).
麥地祠堂劉氏族譜: (原始文稿掃瞄七十一頁段).

麥地祠堂劉氏族譜: (原始文稿掃瞄七十二頁段).
麥地祠堂劉氏族譜: (原始文稿掃瞄七十二頁段).

恊天宮桃園三結義相距處 ……. 旗嶺村路段………冷水坑元選堂
?pid=fef495d2d64441a5&new=1&src=onebox
恊天宮桃園三結義相距處 ……. 旗嶺村路段………冷水坑元選堂……(東江22世p.c.君拍攝圖片).

麥地祠堂劉氏族譜: (原始文稿掃瞄七十三頁段).
麥地祠堂劉氏族譜: (原始文稿掃瞄七十三頁段).

麥地祠堂劉氏族譜: (原始文稿掃瞄七十四頁段).
麥地祠堂劉氏族譜: (原始文稿掃瞄七十四頁段).

麥地祠堂劉氏族譜: (原始文稿掃瞄七十五頁段).
麥地祠堂劉氏族譜: (原始文稿掃瞄七十五頁段).

麥地祠堂劉氏族譜: (原始文稿掃瞄七十六頁段).
麥地祠堂劉氏族譜: (原始文稿掃瞄七十六頁段).

麥地祠堂劉氏族譜: (原始文稿掃瞄七十七頁段).
麥地祠堂劉氏族譜: (原始文稿掃瞄七十七頁段).

麥地祠堂劉氏族譜: (原始文稿掃瞄七十八頁段).
麥地祠堂劉氏族譜: (原始文稿掃瞄七十八頁段).

麥地祠堂劉氏族譜: (原始文稿掃瞄七十九頁段).
麥地祠堂劉氏族譜: (原始文稿掃瞄七十九頁段).

麥地祠堂劉氏族譜: (原始文稿掃瞄八十頁段).
麥地祠堂劉氏族譜: (原始文稿掃瞄八十頁段).

麥地祠堂劉氏族譜: (原始文稿掃瞄八十一頁段).
麥地祠堂劉氏族譜: (原始文稿掃瞄八十一頁段).

麥地祠堂劉氏族譜: (原始文稿掃瞄八十二頁段).
麥地祠堂劉氏族譜: (原始文稿掃瞄八十二頁段).
完!!!
麥地祠堂劉氏族譜: 於民國初年停止記錄, 可能是東征北閥/抗日戰爭/國共內戰/抗美援朝等等戰爭的原因……很多子弟都征戰仟里之外…很多子嗣死於戰亂.
下接 冷水坑 元選堂補充遺漏文稿檔案, 原因: 冷水坑 元選堂 族譜於1967年前文化革命時紅衛兵破四舊時把族譜燒毀, 墓碑扑錘打爛. 一部份墓碑已經無法辨認, 筆者花了幾年時間才整理好一部份資料文檔.

旗嶺族譜一頁. 村中長老筆錄…
旗嶺族譜一頁. 村中長老筆錄…
冷水坑 元選堂補充遺漏文稿檔案, 原因: 冷水坑 元選堂 族譜於1967年前文化革命時紅衛兵破四舊時把族譜燒毀, 墓碑扑錘打爛. 一部份墓碑已經無法辨認, 花了幾年時間才整理好一部份資料文檔.


旗嶺族譜二頁. 村中長老筆錄…
旗嶺族譜二頁. 村中長老筆錄…

旗嶺族譜三頁. 村中長老筆錄…
旗嶺族譜三頁. 村中長老筆錄…

旗嶺族譜四頁. 村中長老筆錄…筆者整理後再探訪探勘有關連古墓碑古墓群…..
旗嶺族譜四頁. 村中長老筆錄…筆者整理後再探訪探勘有關連 古墓碑 古墓群…..
冷水坑 元選堂補充遺漏文稿檔案, 原因: 冷水坑 元選堂 族譜於1967年前文化革命時紅衛兵破四舊時把族譜燒毀, 墓碑扑錘打爛. 一部份墓碑已經無法辨認, 花了幾年時間才整理好一部份資料文檔.

丟荒80年古墓披荊滿棘,未被破壞 十八世祖 劉母 墓碑 保存完好…筆者用白面粉套出文字…

這個古墓文字1967年前被鐵錘拷錘爛模糊不清…在惠州,冷水坑,福長嶺側元選堂的祖墳…


未被破壞 十七世祖 劉必玉夫人 考妣墓碑 保存完好…筆者用白面粉套出文字…
惠州石門樓劉氏宗祠 1941年前後被日本皇軍轟炸機炸毀…300年前 劉時貴 公 建築…

麥地祠堂劉氏族譜記載近代十二世祖時貴公字漢祚.
十二世劉時貴公(漢祚) 生: 妣陳氏。生子:必先、應先。妣鐘氏,享壽97歲。生子:利先、榮先。
十三世劉榮先公 生: 妣吳氏。生八子:妣郭氏。生一子:元: 魁,登,豪,選,麟,尹,揚,晉,錫.
十四世劉元選公 生: 妣楊氏。生五子:子明,子敏,子芳,子立,子紹.
元選堂族譜:於1967年文化革命破四舊立四新運動被燒毀,元選堂冷水坑村長老只記錄了一部份子嗣資料……
恊天宮桃園三結義相距處 ……. 旗嶺村路段………冷水坑元選堂……(東江22世p.c.君拍攝圖片).
惠州冷水坑元選堂 : 四環南路/東江學府二期側邊東北角方向.
惠州冷水坑元選堂 : 四環南路/東江學府二期側邊東北角方向.
每年春分季節祭祖活動…
十五世劉子明公 生: 生四子:學仁,學義,學禮,學智.
十六世劉學義公 生: 生二子:必珍, 必玉.
十七世劉必玉公 生: 妣蔡/郭氏。生四子:鳳光, 鳳舒, . 鳳? , 鳳? , .。。。。
十八世劉鳳光公, 妣何氏。生: 作孚, 希業, 德業, 駿業, 中孚,永孚,
十九世後人: 劉作孚, 劉希業, 劉德業, 劉駿業, 劉中孚,劉永孚, 劉鵾業, 劉鵬業,…等.
十九世後人:不祥細資料: 劉梅庵。林則徐抗英鴉片戰爭籌組民團,曾任民團團練,墓碑: 委用訓導劉希業,…有一詞待查證.
二十世後人: 劉兆鰲, 劉兆熊, 劉兆熙, 劉兆漢, 劉兆斌, 劉 鋆, 劉兆銓, 劉兆鎔, 劉兆清, 劉兆淙, 劉兆(廿欣)組合為一字, 劉兆芹,…等等. 劉兆銓, 劉 鋆, 是: 劉侖 的宗兄,…等等.
十九世後人: 劉梅庵 (希業)??? 元配夫人生:嫡男 長子: 劉兆銓, 二子: 舉人…劉鋆,三女嫁姓周丈夫,四女,五女,六子:劉??(惠州步行街住中山西路6 號.),…..(惠州姚屋巷3號後人) 二房妻李氏生:七女,八女,九子:劉植基(1941年至1942年間,惠州商會會長被日本兵打死,就地槍殺, 劉植基有二子,長子曾居香港新界上水,次子現仍居惠州市區.)……???十子: 劉侖 ??? 生 父 是???
二十世: 劉兆銓, 生三子:廿一世: 劉子陶 (迺潛) 1894—1970, 廿一世: 劉子亨 (迺通) 1896—1942被日本軍隊打死…廿一世: 劉子揚(迺宏) 1942年抗日戰爭,任準尉排長. 1922年5月11日.–2013年12月22日….享年92歲..…惠州環城西路39號後人…
二十世 同知衙四川知縣 庚子辛丑科舉人…劉 鋆, 惠州秀水湖街市20號後人,.???……

同知衙四川知縣劉鋆的牌坊石雕上部份文字被拆卸放在旗嶺下老祠堂附近…

同知衙四川知縣劉鋆的牌坊石雕下部份文字被拆卸放在旗嶺下老祠堂附近…

廿一世: 劉子陶 (迺潛) 1894—1970,
1942年抗日戰爭,第四戰區任少將參議,
劉子陶 1957年攝於惠州西湖…留影…

二十世: 劉侖…惠州姚屋巷3號後人,. 廣州百歲著名畫家劉侖…(劉梅庵 小兒子???).
十八世劉鳳光公,墓碑文刻註釋:
